【2026入試】産業医科大学医学部医学科解答例を公開!

2026年2月8日(日)実施 一般入試

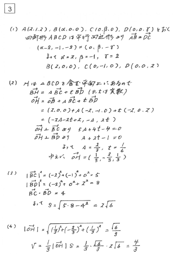
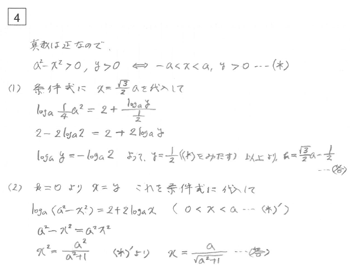
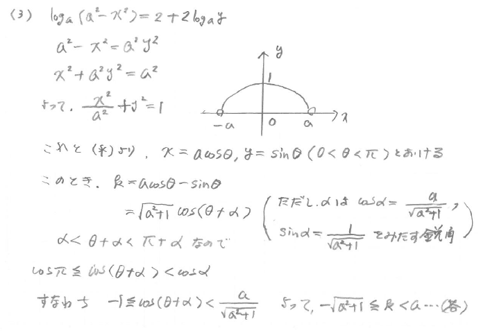
数学

PDFファイルはこちら(新しいタブで開きます):解答速報(数学)

解答

画像に alt 属性が指定されていません。ファイル名: 20260208_%E7%94%A3%E5%8C%BB%E5%A4%A7%E8%A7%A3%E7%AD%94%E9%80%9F%E5%A0%B1_%E6%95%B0%E5%AD%A6_01.png
画像に alt 属性が指定されていません。ファイル名: 20260208_%E7%94%A3%E5%8C%BB%E5%A4%A7%E8%A7%A3%E7%AD%94%E9%80%9F%E5%A0%B1_%E6%95%B0%E5%AD%A6_02.png
画像に alt 属性が指定されていません。ファイル名: 20260208_%E7%94%A3%E5%8C%BB%E5%A4%A7%E8%A7%A3%E7%AD%94%E9%80%9F%E5%A0%B1_%E6%95%B0%E5%AD%A6_03.png
画像に alt 属性が指定されていません。ファイル名: 20260208_%E7%94%A3%E5%8C%BB%E5%A4%A7%E8%A7%A3%E7%AD%94%E9%80%9F%E5%A0%B1_%E6%95%B0%E5%AD%A6_04.png

物理

PDFファイルはこちら(新しいタブで開きます):解答速報(物理)

解答

画像に alt 属性が指定されていません。ファイル名: 20260208_%E7%94%A3%E5%8C%BB%E5%A4%A7%E8%A7%A3%E7%AD%94%E9%80%9F%E5%A0%B1_%E7%89%A9%E7%90%86_01.png

化学

PDFファイルはこちら(新しいタブで開きます):解答速報(化学)

画像に alt 属性が指定されていません。ファイル名: image-17.png

生物

PDFファイルはこちら(新しいタブで開きます):解答速報(生物)

解答

画像に alt 属性が指定されていません。ファイル名: 20260208_%E7%94%A3%E5%8C%BB%E5%A4%A7%E8%A7%A3%E7%AD%94%E9%80%9F%E5%A0%B1_%E7%94%9F%E7%89%A9_01.png
画像に alt 属性が指定されていません。ファイル名: 20260208_%E7%94%A3%E5%8C%BB%E5%A4%A7%E8%A7%A3%E7%AD%94%E9%80%9F%E5%A0%B1_%E7%94%9F%E7%89%A9_02.png

英語

PDFファイルはこちら(新しいタブで開きます):解答速報(英語)

解答

画像に alt 属性が指定されていません。ファイル名: 20260208_%E7%94%A3%E5%8C%BB%E5%A4%A7%E8%A7%A3%E7%AD%94%E9%80%9F%E5%A0%B1_%E8%8B%B1%E8%AA%9E_01.png
画像に alt 属性が指定されていません。ファイル名: 20260208_%E7%94%A3%E5%8C%BB%E5%A4%A7%E8%A7%A3%E7%AD%94%E9%80%9F%E5%A0%B1_%E8%8B%B1%E8%AA%9E_02.png

画像に alt 属性が指定されていません。ファイル名: %E3%82%B9%E3%82%AF%E3%83%AA%E3%83%BC%E3%83%B3%E3%82%B7%E3%83%A7%E3%83%83%E3%83%88-2026-02-06-094859.png

お電話でのご相談・資料請求

0120-181-509

スマートフォンからもおかけいただけます
「ホームページを見た!」とお電話ください

タイトルとURLをコピーしました