【2026入試】長崎大学(前期日程) 解答例を順次公開!

画像に alt 属性が指定されていません。ファイル名: %E3%82%B9%E3%82%AF%E3%83%AA%E3%83%BC%E3%83%B3%E3%82%B7%E3%83%A7%E3%83%83%E3%83%88-2026-02-02-143843.png

2026年2月25日(水)実施



英語

PDFファイルはこちら(新しいタブで開きます):解答速報(英語)

解答

画像に alt 属性が指定されていません。ファイル名: image-21.png
画像に alt 属性が指定されていません。ファイル名: image-22.png
画像に alt 属性が指定されていません。ファイル名: image-23.png

講評

昨年度までの5題構成から、4題構成へと変更された。そのほか出題形式や内容、難易度ともに概ね例年通りであった。しかし、長文問題では解答のまとめ方が難しい問題もあり、日本語力も求められた。
A:日本語で説明する問題は基本的に下線部直後に解答の根拠が用意されており、見つけ出すのにさほど苦労はしなかっただろう。根拠となる部分を適切にまとめあげる日本語力が求められた。空所補充は品詞判断および文脈から確実に正解したい問題である。下線部の類義語(句)を選ぶ問題は、馴染みのないものでも周囲の内容から類推して答えを導き出したい。問8は難易度が高く苦労した受験生が多いと思われる。問1〜7で確実に得点したいところである。
B:例年通りの英問英答で、問3・問10・問11は記号問題であった。問11で迷った受験生が多いかもしれない。一部解答のまとめ方が難しいものもあるが、基本的に本文の表現を参考にすれば解ける問題ばかりであった。
C:いずれも受験生必須レベルの語彙が問われている。単純な語彙力だけでなく、内容をきちんと読み取った上で解答したい。
D:グラフの内容と、成人がもっと運動をすべきかどうかについての意見をそれぞれ100語程度の英語で述べる自由英作文。比較的取り組みやすいテーマであった。

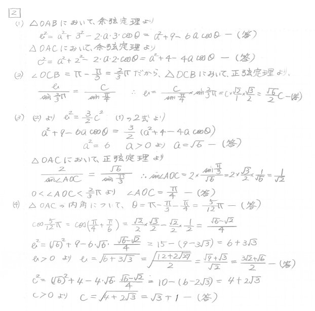
数学

PDFファイルはこちら(新しいタブで開きます):解答速報(数学)

解答

画像に alt 属性が指定されていません。ファイル名: image-8.png
画像に alt 属性が指定されていません。ファイル名: image-9.png
画像に alt 属性が指定されていません。ファイル名: image-10.png
画像に alt 属性が指定されていません。ファイル名: image-11.png
画像に alt 属性が指定されていません。ファイル名: image.png
画像に alt 属性が指定されていません。ファイル名: image-12.png
画像に alt 属性が指定されていません。ファイル名: image-1.png
画像に alt 属性が指定されていません。ファイル名: image-2.png
画像に alt 属性が指定されていません。ファイル名: image-4.png
画像に alt 属性が指定されていません。ファイル名: image-5.png
画像に alt 属性が指定されていません。ファイル名: image-6.png
画像に alt 属性が指定されていません。ファイル名: image-7.png

物理

PDFファイルはこちら(新しいタブで開きます):解答速報(物理)

解答

画像に alt 属性が指定されていません。ファイル名: image-35.png
画像に alt 属性が指定されていません。ファイル名: image-36.png
画像に alt 属性が指定されていません。ファイル名: image-37.png
画像に alt 属性が指定されていません。ファイル名: image-38.png

化学

PDFファイルはこちら(新しいタブで開きます):解答速報(化学)

解答

画像に alt 属性が指定されていません。ファイル名: image-30.png
画像に alt 属性が指定されていません。ファイル名: image-31.png
画像に alt 属性が指定されていません。ファイル名: image-32.png
画像に alt 属性が指定されていません。ファイル名: image-33.png
画像に alt 属性が指定されていません。ファイル名: image-34.png

生物

PDFファイルはこちら(新しいタブで開きます):解答速報(生物)

解答

画像に alt 属性が指定されていません。ファイル名: image-25.png
画像に alt 属性が指定されていません。ファイル名: image-26.png
画像に alt 属性が指定されていません。ファイル名: image-27.png
画像に alt 属性が指定されていません。ファイル名: image-28.png
画像に alt 属性が指定されていません。ファイル名: image-29.png




画像に alt 属性が指定されていません。ファイル名: %E3%82%BA%E3%83%90%E7%9A%84%E3%83%9D%E3%82%B9%E3%82%BF%E3%83%BC%EF%BC%88%E9%95%B7%E5%B4%8E%E5%A4%A7%E6%95%B0%E5%AD%A6%EF%BC%89-848x1200.png

お電話でのご相談・資料請求

0120-181-509

スマートフォンからもおかけいただけます
「ホームページを見た!」とお電話ください

タイトルとURLをコピーしました