
2026年2月25日(水)、26日(木)実施
英語
PDFファイルはこちら(新しいタブで開きます):解答速報(英語)
解答


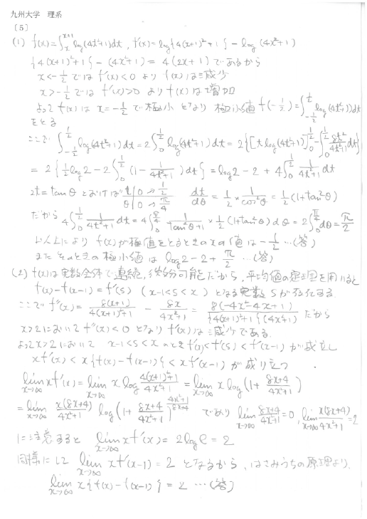
数学(理系)
PDFファイルはこちら(新しいタブで開きます):解答速報(数学理系)
解答







数学(文系)
PDFファイルはこちら(新しいタブで開きます):解答速報(数学文系)
解答




現代文・古文・漢文
PDFファイルはこちら(新しいタブで開きます):解答速報(現代文・古文・漢文)
解答






物理
PDFファイルはこちら(新しいタブで開きます):解答速報(物理)
解答



化学
PDFファイルはこちら(新しいタブで開きます):解答速報(化学)
解答





生物
PDFファイルはこちら(新しいタブで開きます):解答速報(生物)
解答






