
2026年2月1日(日)実施 一般入試
英語
解答
PDFファイルはこちら(新しいタブで開きます):解答速報(英語)

講評
難問奇問が全くなくなり、かなり易しくなった。読みにくい専門的な生物医学の英文もなく、過度に抽象化された選択肢から判定することもなくなった。そして久留米医学部の象徴ともいうべき高い語彙力の壁も消え、素直な英語力を試す試験となったことは大きな変化である。しかしそれはあくまで受験生にある程度の基礎力があり、久留米大学の過去の問題と比較した前提である。小さな変化だが第5問の英問英答問題の問題数が6つになっていることもあげておく。
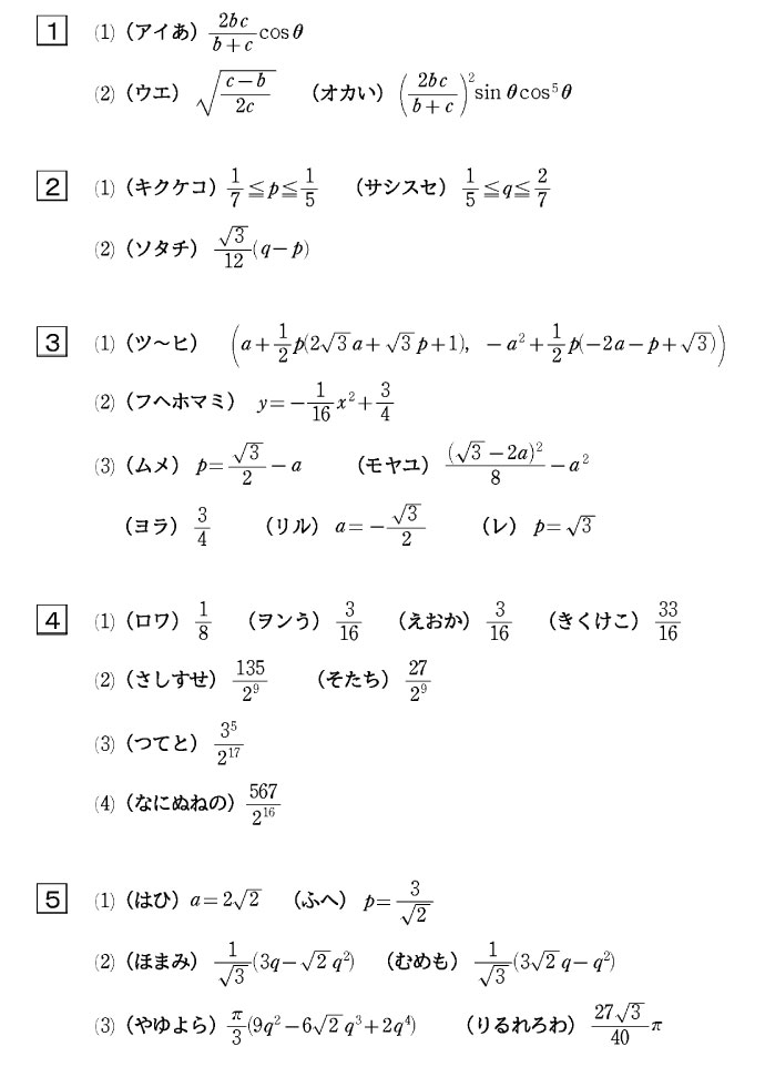
数学
解答
PDFファイルはこちら(新しいタブで開きます):解答速報(数学)

講評
[1] 図形と計量( やや易) 角の二等分線についての問題。比較的平易なので完答したい。
[2] 平面図形 ( 標準) 初等幾何、座標、ベクトルのどれで解くかを選ぶ必要がある。
[3] 図形と式 ( 標準) 軌跡と最大最小の問題。誘導に沿って解けば完答できる。
[4] 確率 ( やや難) 対戦ゲームの確率で、思考力が問われる。また、ミスなく計算するのも難しい。
[5] 数Ⅲ微積分( 標準) 斜軸回転体の体積。典型問題だが強靭な計算力が必要。
今年は図形問題が多い。手を付けやすい問題は多いが計算力が必要。65% 程度の正答率が目標。
物理
解答
PDFファイルはこちら(新しいタブで開きます):解答速報(物理)

講評
・力学は計算が大変で最後までたどり着かなかったと思われる。分離するときの相対速度の式と運動量保存
則を計算した上で水平投射し,さらに条件を代入させて答えを求めさせる久留米大学特有の問題である。
・波動は干渉の問題であった。(6),(9)は干渉の状態を見極める必要があった。
・電磁気は典型的な問題ではあるが,(10)の一様な電場をかける問題でエネルギー保存則で求めないといけ
ないことに気が付けたかが鍵となる。
化学
解答
PDFファイルはこちら(新しいタブで開きます):解答速報(化学)

講評
昨年より計算を要する問題の数は増加したものの,全体としては,解答時間に対して適切な問題量であった。
特筆すべき点として,第2 問ではギブズエネルギーに関する問題が出題された。ギブズエネルギー変化ΔG を,
エンタルピー変化ΔH,エントロピー変化ΔS および絶対温度T を用いて表した式(ΔG=ΔH-TΔS)や,
ΔG の値と反応の自発性との関係については,教科書では「発展」扱いとなっている。そのため,これらの
内容を未履修である受験生や,知識としては触れたことがあっても十分に理解・活用できていなかった受験
生にとっては,難度の高い出題であったといえる。
生物
解答
PDFファイルはこちら(新しいタブで開きます):解答速報(生物)

講評
問題量に大きな変化はなかったが,発展的な知識を問う問題が多く出題されたため,大きく難化したと言える。
大問1の微小管の9+2 構造や大問2の真体腔やはしご形神経系など,旧課程では扱いがあったものの,現行
の教科書に記載のないものが多く出題されており,一般的な受験生では正誤の判断がつかないものが散見さ
れた。計算問題もやや煩雑なものが多かった。血しょうの割合55%などの細かな知識を前提としており,こ
れらも含めて全体的に難度の高い入試問題となっている。



