【2026入試】産業医科大学医学部医学科解答例を公開!

2026年2月8日(日)実施 一般入試

数学

PDFファイルはこちら(新しいタブで開きます):解答速報(数学)

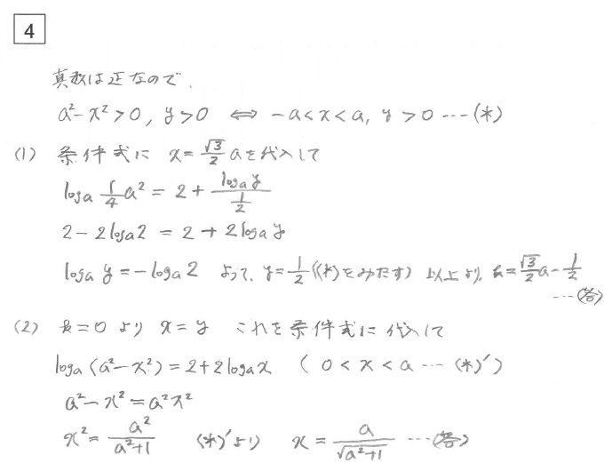
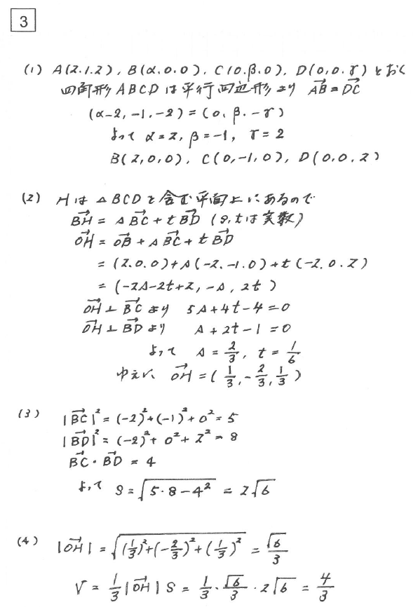
解答

物理

PDFファイルはこちら(新しいタブで開きます):解答速報(物理)

解答

化学

PDFファイルはこちら(新しいタブで開きます):解答速報(化学)

生物

PDFファイルはこちら(新しいタブで開きます):解答速報(生物)

解答

英語

PDFファイルはこちら(新しいタブで開きます):解答速報(英語)

解答


お電話でのご相談・資料請求

0120-181-509

スマートフォンからもおかけいただけます
「ホームページを見た!」とお電話ください

タイトルとURLをコピーしました